Jaw Coupling - Set screw Type
*Absorb vibration and adjust misalignment of parallel, angular and axial
*Oil resistance and electrical insulation
*Zero backlash
*Spider supports 4 types of hardness
*Set screw type (Keyway is available per requirements)
Ordering Information

Dimensions(mm)

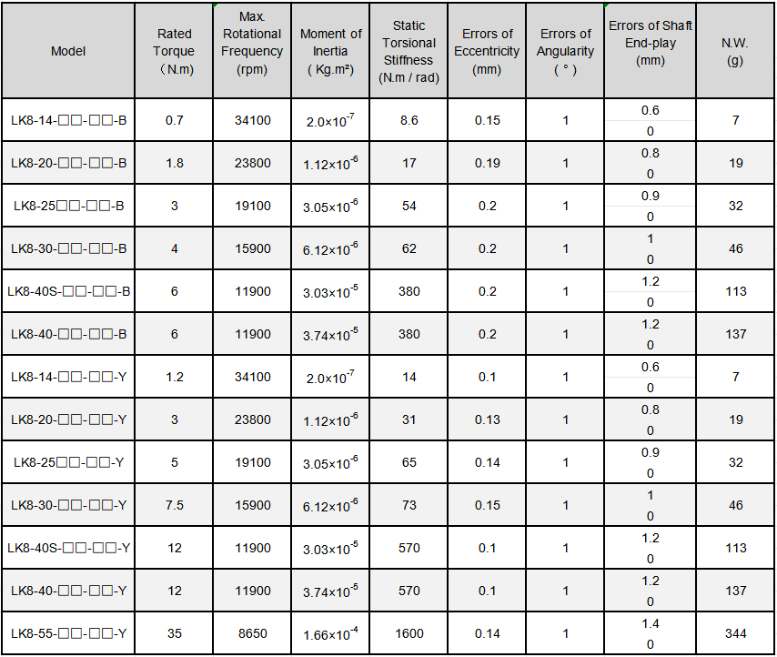
Specifications(mm)



Download
Here you will find order examples and operating instructions for download in PDF format.
LK8 Jaw Coupling with Setscrew Type.pdf
Other Curved Jaw Coupling
Contact us
COUP-LINK, Guangzhou LINK Automation Equipment Co.,Ltd.
Add.: 2606-2609 Room, B Building, Feng Xing Square, No.242 Tian He Road, Guangzhou City, Guangdong Province, China.
Tel.:+86-20-38395380/81/82/83
Fax.:+86-20-38395480
Email,:link@gzlink.com